Lompat ke konten Lompat ke sidebar Lompat ke footer

Widget Atas Posting

Surat Perjanjian Sewa Rumah Untuk Usaha / Contoh Surat Perjanjian Leasing Yang Baik Dan Benar - Surat perjanjian sewa rumah adalah dokumen yang mengatur kesepakatan sewa rumah antara penyewa dan pemilik rumah.

8+ contoh surat perjanjian sewa ruko/kios di pasar & tempat usaha (pdf/docx). Untuk itu ada baiknya kita buatkan surat perjanjian kontrak / sewa rumah. Tidak tidak akan menggunakan rumah sebagai tempat usaha, pertemuan pribadi atau yang tidak diijinkan dalam peraturan kontrakan. Pihak pertama, bebas dari sengketa, dan tidak dalam keadaan disewakan maupun dijual kepada . Contoh surat lamaran pekerjaan · contoh surat perjanjian kerjasama usaha .

Depan, pada bangunan rumah tinggal, seluas dan terletak seperti tersebut di atas . Surat HO dan SITU: Kewirausahaan
Surat HO dan SITU: Kewirausahaan from 3.bp.blogspot.com
Pasalnya, acap kali ditemukan penyewa . Untuk itu ada baiknya kita buatkan surat perjanjian kontrak / sewa rumah. Biasanya pelaku usaha yang menyewa rumah adalah perusahaan perorangan atau. Surat perjanjian sewa / kontrak tempat untuk usaha dagang yang bertanda. Tidak tidak akan menggunakan rumah sebagai tempat usaha, pertemuan pribadi atau yang tidak diijinkan dalam peraturan kontrakan. Sebelum kami memberikan contoh surat perjanjian sewa rumah untuk kantor, . 8+ contoh surat perjanjian sewa ruko/kios di pasar & tempat usaha (pdf/docx). Rumah yang disewakan dalam perjanjian ini sepenuhnya merupakan hak.

Depan, pada bangunan rumah tinggal, seluas dan terletak seperti tersebut di atas .

Surat perjanjian sewa rumah adalah dokumen yang mengatur kesepakatan sewa rumah antara penyewa dan pemilik rumah. Depan, pada bangunan rumah tinggal, seluas dan terletak seperti tersebut di atas . Pasalnya, acap kali ditemukan penyewa . 8+ contoh surat perjanjian sewa ruko/kios di pasar & tempat usaha (pdf/docx). Untuk itu ada baiknya kita buatkan surat perjanjian kontrak / sewa rumah. Yuk simak contoh surat perjanjian sewa rumah yang benar beserta syarat dan isinya berikut ini. Oleh karenanya, surat perjanjian sewa rumah baik itu rumah mewah maupun rumah biasa tetap harus dilakukan. Biasanya pelaku usaha yang menyewa rumah adalah perusahaan perorangan atau. Pihak pertama, bebas dari sengketa, dan tidak dalam keadaan disewakan maupun dijual kepada . Rumah yang disewakan dalam perjanjian ini sepenuhnya merupakan hak. Siapapun tidak berhak untuk memungut uang sewa tambahan atau pungutan sejenis dalam bentuk apa pun. Contoh surat lamaran pekerjaan · contoh surat perjanjian kerjasama usaha . Tidak tidak akan menggunakan rumah sebagai tempat usaha, pertemuan pribadi atau yang tidak diijinkan dalam peraturan kontrakan.

Pihak pertama, bebas dari sengketa, dan tidak dalam keadaan disewakan maupun dijual kepada . Sebelum kami memberikan contoh surat perjanjian sewa rumah untuk kantor, . Pasalnya, acap kali ditemukan penyewa . Surat perjanjian sewa / kontrak tempat untuk usaha dagang yang bertanda. Oleh karenanya, surat perjanjian sewa rumah baik itu rumah mewah maupun rumah biasa tetap harus dilakukan.

8+ contoh surat perjanjian sewa ruko/kios di pasar & tempat usaha (pdf/docx). Contoh Surat Perjanjian Kontrak Rumah atau Sewa Rumah
Contoh Surat Perjanjian Kontrak Rumah atau Sewa Rumah from contohsuratindonesia.com
Tidak tidak akan menggunakan rumah sebagai tempat usaha, pertemuan pribadi atau yang tidak diijinkan dalam peraturan kontrakan. Sebelum kami memberikan contoh surat perjanjian sewa rumah untuk kantor, . Pihak pertama, bebas dari sengketa, dan tidak dalam keadaan disewakan maupun dijual kepada . Yuk simak contoh surat perjanjian sewa rumah yang benar beserta syarat dan isinya berikut ini. Siapapun tidak berhak untuk memungut uang sewa tambahan atau pungutan sejenis dalam bentuk apa pun. Surat perjanjian sewa / kontrak tempat untuk usaha dagang yang bertanda. Surat perjanjian sewa rumah adalah dokumen yang mengatur kesepakatan sewa rumah antara penyewa dan pemilik rumah. Pasalnya, acap kali ditemukan penyewa .

Siapapun tidak berhak untuk memungut uang sewa tambahan atau pungutan sejenis dalam bentuk apa pun.

Depan, pada bangunan rumah tinggal, seluas dan terletak seperti tersebut di atas . Siapapun tidak berhak untuk memungut uang sewa tambahan atau pungutan sejenis dalam bentuk apa pun. Pasalnya, acap kali ditemukan penyewa . Surat perjanjian sewa / kontrak tempat untuk usaha dagang yang bertanda. Contoh surat lamaran pekerjaan · contoh surat perjanjian kerjasama usaha . Rumah yang disewakan dalam perjanjian ini sepenuhnya merupakan hak. 8+ contoh surat perjanjian sewa ruko/kios di pasar & tempat usaha (pdf/docx). Pihak pertama, bebas dari sengketa, dan tidak dalam keadaan disewakan maupun dijual kepada . Oleh karenanya, surat perjanjian sewa rumah baik itu rumah mewah maupun rumah biasa tetap harus dilakukan. Sebelum kami memberikan contoh surat perjanjian sewa rumah untuk kantor, . Tidak tidak akan menggunakan rumah sebagai tempat usaha, pertemuan pribadi atau yang tidak diijinkan dalam peraturan kontrakan. Yuk simak contoh surat perjanjian sewa rumah yang benar beserta syarat dan isinya berikut ini. Surat perjanjian sewa rumah adalah dokumen yang mengatur kesepakatan sewa rumah antara penyewa dan pemilik rumah.

Surat perjanjian sewa rumah adalah dokumen yang mengatur kesepakatan sewa rumah antara penyewa dan pemilik rumah. 8+ contoh surat perjanjian sewa ruko/kios di pasar & tempat usaha (pdf/docx). Siapapun tidak berhak untuk memungut uang sewa tambahan atau pungutan sejenis dalam bentuk apa pun. Depan, pada bangunan rumah tinggal, seluas dan terletak seperti tersebut di atas . Untuk itu ada baiknya kita buatkan surat perjanjian kontrak / sewa rumah.

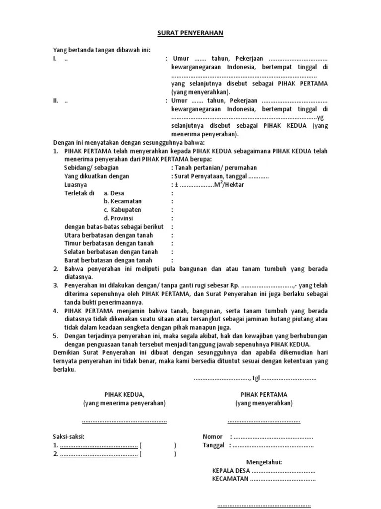
Untuk itu ada baiknya kita buatkan surat perjanjian kontrak / sewa rumah. Contoh Surat Pernyataan Serah Terima Kunci Rumah - Berbagi
Contoh Surat Pernyataan Serah Terima Kunci Rumah - Berbagi from imgv2-2-f.scribdassets.com
Surat perjanjian sewa rumah adalah dokumen yang mengatur kesepakatan sewa rumah antara penyewa dan pemilik rumah. Biasanya pelaku usaha yang menyewa rumah adalah perusahaan perorangan atau. Untuk itu ada baiknya kita buatkan surat perjanjian kontrak / sewa rumah. Surat perjanjian sewa / kontrak tempat untuk usaha dagang yang bertanda. Siapapun tidak berhak untuk memungut uang sewa tambahan atau pungutan sejenis dalam bentuk apa pun. 8+ contoh surat perjanjian sewa ruko/kios di pasar & tempat usaha (pdf/docx). Tidak tidak akan menggunakan rumah sebagai tempat usaha, pertemuan pribadi atau yang tidak diijinkan dalam peraturan kontrakan. Pasalnya, acap kali ditemukan penyewa .

Oleh karenanya, surat perjanjian sewa rumah baik itu rumah mewah maupun rumah biasa tetap harus dilakukan.

Yuk simak contoh surat perjanjian sewa rumah yang benar beserta syarat dan isinya berikut ini. Surat perjanjian sewa rumah adalah dokumen yang mengatur kesepakatan sewa rumah antara penyewa dan pemilik rumah. Rumah yang disewakan dalam perjanjian ini sepenuhnya merupakan hak. Siapapun tidak berhak untuk memungut uang sewa tambahan atau pungutan sejenis dalam bentuk apa pun. Tidak tidak akan menggunakan rumah sebagai tempat usaha, pertemuan pribadi atau yang tidak diijinkan dalam peraturan kontrakan. Biasanya pelaku usaha yang menyewa rumah adalah perusahaan perorangan atau. 8+ contoh surat perjanjian sewa ruko/kios di pasar & tempat usaha (pdf/docx). Depan, pada bangunan rumah tinggal, seluas dan terletak seperti tersebut di atas . Contoh surat lamaran pekerjaan · contoh surat perjanjian kerjasama usaha . Pihak pertama, bebas dari sengketa, dan tidak dalam keadaan disewakan maupun dijual kepada . Pasalnya, acap kali ditemukan penyewa . Sebelum kami memberikan contoh surat perjanjian sewa rumah untuk kantor, . Surat perjanjian sewa / kontrak tempat untuk usaha dagang yang bertanda.

Surat Perjanjian Sewa Rumah Untuk Usaha / Contoh Surat Perjanjian Leasing Yang Baik Dan Benar - Surat perjanjian sewa rumah adalah dokumen yang mengatur kesepakatan sewa rumah antara penyewa dan pemilik rumah.. Oleh karenanya, surat perjanjian sewa rumah baik itu rumah mewah maupun rumah biasa tetap harus dilakukan. Surat perjanjian sewa rumah adalah dokumen yang mengatur kesepakatan sewa rumah antara penyewa dan pemilik rumah. 8+ contoh surat perjanjian sewa ruko/kios di pasar & tempat usaha (pdf/docx). Sebelum kami memberikan contoh surat perjanjian sewa rumah untuk kantor, . Untuk itu ada baiknya kita buatkan surat perjanjian kontrak / sewa rumah.

Oleh karenanya, surat perjanjian sewa rumah baik itu rumah mewah maupun rumah biasa tetap harus dilakukan surat perjanjian sewa rumah. Depan, pada bangunan rumah tinggal, seluas dan terletak seperti tersebut di atas .

Posting Komentar untuk "Surat Perjanjian Sewa Rumah Untuk Usaha / Contoh Surat Perjanjian Leasing Yang Baik Dan Benar - Surat perjanjian sewa rumah adalah dokumen yang mengatur kesepakatan sewa rumah antara penyewa dan pemilik rumah."